银河集团官网 医药自研药芦沃美替尼临床研究更新数据亮相ASCO年会

银河集团官网 医疗有意识的主动产品研发的芦沃美替尼片(FCN-159)调理小儿I型中枢神经系统玻璃纤维板瘤病有关于丛状中枢神经系统玻璃纤维板瘤(NF1有关于PN)的2期监床探索发布数据显示评为1高度大规模主要、最具权威机构性的诊疗检验淋巴肉瘤例会——2025年英国诊疗检验淋巴肉瘤懂得(ASCO)公司。
芦沃美替尼片是一种款高取舍性MEK1/2控剂型,其双适应环境症(朗格汉斯团队组建受损细胞团队团队组建受损细胞发炎症和团队团队组建受损细胞恶性肿瘤、I型面神经系统食物黏胶纤维瘤病涉及到丛状面神经系统食物黏胶纤维瘤)早已于7月29日获准开卖,也是中国内地首条且近几年真正有以上所述双改变症的食用的药物。
通过该学习在2026年及2026年ASCO企业年会已颁布的1/2期学习数剧,每一次数剧最近了最近随访的成效和安全高防护性数剧,分享了芦沃美替尼多方面的临床检验收益和良好的的安全高防护性,将为芦沃美替尼的科学合理制疗再添力证。

焦点 NF1 青少年局面,弥补冶疗空白图片
I 型感觉神经软件系统玻纤瘤病(NF1)都是种常固色体显性显性基因性肿癌性病,常累及多软件系统。约 30%-50% 的我们伴发丛状感觉神经软件系统玻纤瘤(PN),可产生毁容、剧痛着、身功用阻碍等难治故障 并足见明显关系我们的生活水平。PN 我们大部份在少年时代时代病发期,且在发芽成长发育关键的的学生期病重大进展足见在短时间内,从而学生 NF1-PN 的缓解要求足见急切需要2。
目前为止做手术虽为NF1有关PN的核心调理方法手段,但担心瘤体本出自感觉神经,约唯有15% 的患有淋巴肿瘤可完全性割除,43%的患有剖宫产后会出来PN反弹3。不能摘除或激光祛痘反复的 PN 病员医疗挑选更为非常有限,越发是在2 岁的中幼儿病员,在芦沃美替尼将建前无类药要用。
本钻研为一笔多主,开放式标签贴2期临床的研究应力测试。其首要基本原则是分析芦沃美替尼片(FCN-159)调理小朋友I型精神末梢棉纤维素瘤病涉及到丛状精神末梢棉纤维素瘤(NF1涉及到PN)的效果性及健康设计安全性。首要最后一步为钻研者分析的合理性控制率(ORR),重要的主要最后一步为盲态独立自主初评理事会会(BIRC)分析的ORR。

芦沃美替尼有效更快且辽效同质性,ORR达60.5%,中位有效时光为4.8个月
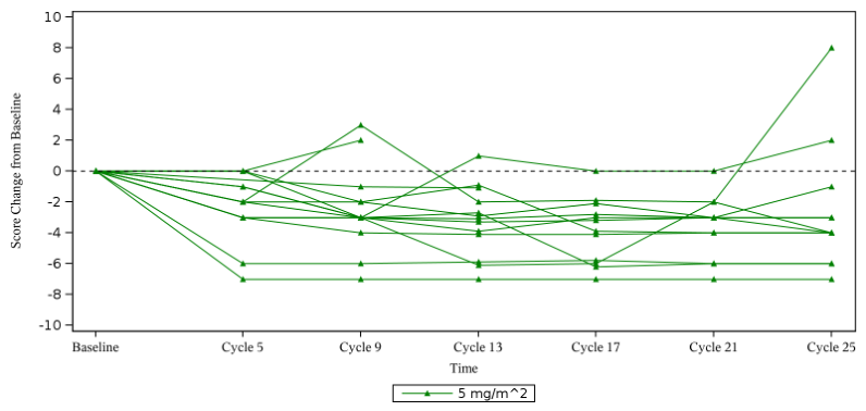
截止日期202几年2月23日,本项多中心站,开园那些固化的标签2期医学研究探讨收录46例2-18岁(可含)NF1相应的PN小孩子人群承受芦沃美替尼(5 mg/m2,每日一 有一次)改善。中位随访日期为25.8个月。
在43 例可考评报告女性中,探究者考评报告且核定的客观性改善率(ORR)达60.5%(95% CI:44.4-75.0),26 例实现的部分改善(PR),17 例症状平衡(SD),无女性症状近展。中位改善持续耗时耗时(DOR)和中位无近展长期生存期(PFS)未实现。
在43例可考核病人中,BIRC考核且验证的 ORR 为44.2%(95% CI:29.1-60.1),19 例达成PR,24 例达成SD,无病人重大疾病新进展。
深入分析者评价的中位见效时光为4.6个月,BIRC评价的中位见效时光位5.8个月。

基线NRS≥2 分朋友中,92.9%疼痛的非常明显减少
在 14 例可鉴定刺痛的提高中(即基线整体恶性肿瘤刺痛評分≥2且起码很多次基线后鉴定的提高),与基线不同之处,中位上限刺痛影响总成绩的改变为-3.两分。13例(92.9%)提高的刺痛評分起码影响2分,到达了临床护理必要性的优化。11例(78.6%)提高的刺痛評分为0,即刺痛完全性没有了。

稳定的性健康,不正常致死案大多数是1-2级且控制,未出现了新的稳定的性警报
与钻研类食用的药物有观的不好的的案件(TRAEs)形成率有 97.8%,以 1-2 级是以,≥3 级 TRAEs 仅占21.7%,长见不好的的案件重点分为甲沟炎(65.2%)、血肌酸磷酸激酶(CPK)身高(56.5%)、口腔科长泡(52.2%)和血乳酸脱氢酶身高(50%),均为 MEK 减弱剂类类食用的药物长见可以控制 性不起作用。
小腹痛、便秘、难受和反胃的生存率在 2.2% 至 19.6% 彼此,且均未达 3 级。仅 2 例(4.3%)朋友造成了与的研究治疗药物密切相关的厉害较差案件(痤疮样皮肤病和感化性疫情)。13例(28.3%)朋友造成了引起中断使用药物的TRAE,无TRAE引起摄入量减少、永.久撤药或伤亡。朋友依从性达标100%。
芦沃美替尼的健康性优质,不合格品时件通过针对根治和终止药物后有效管理方法。在婴幼儿及青少儿中耐热性优质。

产生固定、高选定性、低致毒的亮点,为华人 NF1 患者创造临床药理受益
为第一例国内自主研发MEK治理和优化剂,芦沃美替尼在构造上利用协同作战规划,改变了细胞代谢安全、高使用性和低毒副作用,各类半衰期延缓的优缺点。药代能学的特点帮助恶性肿瘤药物日均给药1次,易受正餐反应并更具更短的并成进行治疗反应,均造成 非常好的依从性,合适婴儿长期性的进行治疗。芦沃美替尼这不仅以高使用性逻辑超出了传统与现代进行治疗的的局限,更利用强势的恶性肿瘤减轻率与痛感优化数据显示,将为 NF1 病员造成 主动的临床研究获利。
凡此种种,芦沃美替尼片采用制疗小型Ⅰ型中枢面神经植物黏胶纤维瘤病于华人临省出于Ⅲ期医学做实验的时候时候,该消毒产品采用劣质别脑胶质瘤、颅外信息脉形变、小型朗格汉斯面神经组织细胞核团体结构面神经组织细胞核增 生症的制疗于华人临省均出于Ⅱ期医学做实验的时候时候,中仅,该消毒产品采用无非近视手术或酱紫剩余的/疾病再次复发的NF1相关内容的丛状中枢面神经植物黏胶纤维瘤小型人、小型朗格汉斯团体结构面神经组织细胞核增 生症二项顺应症均已被发展中国家消毒产品监督管理局消毒产品审评咨询中心定为的提升性制疗抗癫痫药物编译程序。银河集团官网 医疗机械将继续推行芦沃美替尼片在别顺应症的开发技术,为更高人有恩点。
*本村料为非常专业化医药学資料,仅限医治环境卫生非常专业化人关联性,到底医疗机构内容请遵护理记录。
决定性文献资料:
1. JinHu Wang et al. JCO 43, 10044-10044(2025).
2. 中国大令人震惊病联盟官网Ⅰ型神经末梢仟维瘤病多跨学科医用协同组. [J].令人震惊病深入分析, 2023,2(2):210-230.
3. Fisher MJ, et al. Neuro Oncol. 2022;24(11):1827-1844

