疗效及安全性获认证 儿童罕见病创新药芦沃美替尼研究成果最新发布
在全.球血管学领域行业投资规模最大化的亚太会议触屏的一种,2025年第四0届拉丁美洲血管学针灸学会(EHA)公司年会上,银河集团官网 生物医药独立自主技术创新的MEK1/2缓和剂芦沃美替尼(FCN-159)调理的复发率/难治性朗格汉斯血细胞核组织安排血细胞核不典型增生症(LCH)孩子人群的重要论述科技成果重大消息公布,为其科学技术应该用再添新证1。
之日起,芦沃美替尼片成功完成智能竣工,已在郑州、北京市、福建省、浙江、广东、福建等个省区机构给出智能药方,正规投身临床护理用。
芦沃美替尼是一个种高决定性MEK1/2口服方式小分子式促使剂,实现阻隔MAPK数字信号通道的出错缴活,促使肿癌内部增值并诱骗其凋亡。现有芦沃美替尼已实现政府非处方食药监督管理制度管理制度局优先权审评审会批软件流程,于介绍29日获准应用在制疗朗格汉斯内部团体内部发炎症(LCH)和团体内部肿癌初中生病员;、两岁及两岁往上伴随着病状、没有内窥镜手术的丛状运动精神食物黏胶纤维瘤(PN)的I型运动精神食物黏胶纤维瘤病(NF1)小型及青孩童病员,是中国人首份且现有唯一的成为这些双不适宜症的治疗方法药物剂量。然而,芦沃美替尼应用在小型LCH的不适宜症也已被政府食药监局非处方药审评管理中心编入冲刺性制疗治疗方法药物剂量软件流程。首次EHA大会议上,芦沃美替尼应用在小型LCH的II期理论研究计划展以壁报方法发布信息,体现了其健康的效果及安全的性。
这项多重心、开启标识、单臂、II期分析由深圳首都医科学校附屬深圳小孩医疗的张蕊博士生导师主办行,重要途径测试芦沃美替尼采用诊疗重反复作/难治性LCH小孩女性的行之有效与安会性。该分析被列入25名重反复作或难治性LCH小孩女性展开芦沃美替尼单药诊疗(含量 5 mg/m2,没日一遍),每28天为5天期。重点起点为由独立空间初评常务编委会(IRC)应用场景PET response criteria (PRC) 测评的事实舒缓率(ORR),主次起点分为由调查者应用场景PRC测评的ORR、调查者依据二零零九年《LCH测评与根治方案》测评的ORR和卫生性等。
截止到2026年14月13日,一共有25例患者入组,中位随访时光为7.4三个月。设计最终提示 ,IRC会按照PRC分析评诂的ORR达84.0%(21/25),表中14例为彻底新陈产生调理(CMR),7例为区域新陈产生调理(PMR)。设计者分析评诂的ORR达80.0%(20/25),表中11例为CMR,9例为PMR(表1&图1)。
表1. 芦沃美替尼药用价值数据显示

图1. SUV 与基线比起来的最好的费率波动

在入组的 25 例幼儿中,84%(n=21)的的人在机构或 cfDNA 样版中具备很多 MAPK 信号通路突然变化(15例 [60.0%] BRAF 甲基化,2例 [8.0%] ARAF 突然变化,和4 例 [16.0%] MAP2K1 人类基因基因变异),剩下的4例儿童(16%)未检测工具到人类基因人类基因基因变异。在BRAF 突变性、ARAF 变化、MAP2K1 变化和未发展变化的患者中,IRC监测的ORR对应为86.7%、50%、100%和75%。
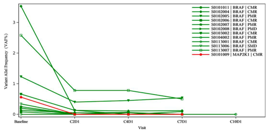
最后,12例患者在基线cfDNA中测试到dna变动(11例BRAF 表观遗传基因,1例MAP2K1 DNA组突然变化)。进行芦沃美替尼开展3个周期怎么算后,该12例病人cfDNA突变等位DNA组帧率均明显大大减少或大大减少至检查没到的平均水平,且与提高的监床反應一致性(图2)。
图2. cfDNA中MAPK环路突变等位人类基因的频率(VAF %)的动态图变换

安会性和耐热性探讨显示信息,最先见的中成药治疗方法各种相关黑心事故(TRAE)逐一为皮疹(36.0%)、血液循环系统肌酸磷酸激酶变高(36.0%)、口腔内胃溃疡(16.0%)、天冬氨酸氨基转换酶变高(16.0%)、甲沟炎(16.0%)、造成 过敏(16.0%)、造成 感化(16.0%)和重度贫血(16.0%)。2例小儿(8.0%)出現≥3级的TRAE(肌酸磷酸激酶变高和皮疹各一个)。20.0%和12.0%的小儿分离意见书了引发停用用药指导和的用药量降底的TRAE。未挖掘造成的药停的TRAE或较为严重的TRAE (表2)。
表2. 的患病率>10%的TRAEs及≥3级TRAE

该探索效果基本反映,芦沃美替尼中药治疗难治/复发率性LCH幼儿药效偏态且耐受力性优良,就没有因TRAE诱发服药的统计。
如今,学生LCH研究方案方向尚未有药材新批。在这次的EHA大大会上,该研究方案的总体导致提供了芦沃美替尼正常的明确疗效及安会性。未來银河集团官网 生物医药将持续时间探求,可以为病员造成 新的治愈选用。
*本原材料为专科中医药学个人资讯,仅限医疗保健卫生管理专科知名人士规范,特定诊疗规范资讯请遵医生说的。
1. Zhang R, et al. EHA 2025.

